Dizajn i toplinski proračun sustava grijanja obavezna je faza u uređenju grijanja kuće. Glavni zadatak računalnih aktivnosti je utvrditi optimalne parametre kotla i radijatorskog sustava.
Slažete se, na prvi pogled može se činiti da samo inženjer može izvršiti proračun toplinske tehnike. Međutim, nije sve tako komplicirano. Poznavajući algoritam radnji, ispast će da samostalno izvodi potrebne izračune.
Članak detaljno opisuje postupak izračuna i pruža sve potrebne formule. Za bolje razumijevanje pripremili smo primjer toplinskog izračuna za privatnu kuću.
Norme temperaturnih režima prostorija
Prije izvođenja bilo kakvih izračuna parametara sustava, potrebno je najmanje znati redoslijed očekivanih rezultata, kao i imati na raspolaganju standardizirane karakteristike nekih tabličnih vrijednosti koje se moraju zamijeniti u formulama ili biti vođeni njima.
Nakon izvršenih proračuna parametara s takvim konstantama, možemo biti sigurni u pouzdanost traženog dinamičkog ili konstantnog parametra sustava.

Za prostore različitih namjena postoje referentni standardi za temperaturne režime stambenih i nestambenih prostora. Te su norme sadržane u takozvanim GOST-ima.
Za sustav grijanja jedan od ovih globalnih parametara je sobna temperatura, koja mora biti konstantna bez obzira na godišnje doba i uvjete okoline.
Prema regulaciji sanitarnih standarda i pravila, postoje razlike u temperaturi u odnosu na ljetnu i zimsku sezonu. Klimatizacijski sustav odgovoran je za temperaturni režim sobe u ljetnoj sezoni, načelo njegovog izračuna detaljno je opisano u ovom članku.
Ali sobnu temperaturu zimi osigurava sustav grijanja. Stoga nas zanimaju temperaturni rasponi i njihova tolerancija za odstupanja u zimskoj sezoni.
Većina regulatornih dokumenata propisuje sljedeće temperaturne opsege koji omogućavaju osobi ugodan boravak u sobi.
Za nestambene prostore uredskog tipa površine do 100 m2:
- 22-24 ° C - optimalna temperatura zraka;
- 1 ° C - dopušteno kolebanje.
Za prostore uredskog tipa s površinom većom od 100 m2 temperatura je 21-23 ° C. Za nestambene prostore industrijskog tipa, rasponi temperatura uvelike se razlikuju ovisno o namjeni prostorija i utvrđenim standardima zaštite rada.


Svaka osoba ima svoju ugodnu sobnu temperaturu. Netko voli da je u sobi vrlo toplo, nekome je ugodno kad je soba hladna - sve je to prilično individualno
Što se tiče stambenih prostora: stanova, privatnih kuća, imanja itd., Postoje određeni rasponi temperature koji se mogu prilagoditi ovisno o željama stanovnika.
Pa ipak, za određene prostore stana i kuće imamo:
- 20-22 ° C - dnevni boravak, uključujući dječju sobu, tolerancija ± 2 ° S -
- 19-21 ° C - kuhinja, wc, tolerancija ± 2 ° S;
- 24-26 ° C - kupaonica, tuš, bazen, tolerancija ± 1 ° S;
- 16-18 ° C - hodnici, hodnici, stubišta, spremišta, tolerancija + 3 ° S
Važno je napomenuti da postoji još nekoliko osnovnih parametara koji utječu na temperaturu u sobi i na koje se morate usredotočiti prilikom izračunavanja sustava grijanja: vlaga (40-60%), koncentracija kisika i ugljičnog dioksida u zraku (250: 1), brzina kretanja zračne mase (0,13-0,25 m / s) itd.
Mehanizmi prijenosa topline u proračunu izmjenjivača topline
Prijenos topline vrši se kroz tri glavne vrste prijenosa topline. To su konvekcija, vodljivost topline i zračenje.
U procesima izmjene topline koji se odvijaju prema načelima mehanizma provođenja topline, prijenos topline događa se kao prijenos energije elastičnih vibracija molekula i atoma. Ta se energija prenosi s jednog atoma na drugi u smjeru smanjenja.
Pri izračunavanju parametara prijenosa topline prema principu toplinske vodljivosti koristi se Fourierov zakon:
Za izračunavanje količine topline koriste se podaci o vremenu prolaska protoka, površini, gradijentu temperature, kao i o koeficijentu toplinske vodljivosti. Gradijent temperature podrazumijeva se kao njegova promjena u smjeru prijenosa topline po jednoj jedinici duljine.
Koeficijent toplinske vodljivosti podrazumijeva se kao brzina prijenosa topline, odnosno količina topline koja prolazi kroz jedinicu površine u jedinici vremena.
Bilo koji termički izračun uzima u obzir da metali imaju najveći koeficijent toplinske vodljivosti. Razne čvrste tvari imaju mnogo niži omjer. A za tekućine je ta brojka u pravilu niža od bilo koje krutine.
Pri izračunavanju izmjenjivača topline, gdje prijenos topline iz jednog medija u drugi prolazi kroz zid, Fourierova jednadžba također se koristi za dobivanje podataka o količini prenesene topline. Izračunava se kao količina topline koja prolazi kroz ravninu beskonačno male debljine :.
Ako integriramo pokazatelje promjena temperature duž debljine stjenke, dobit ćemo
Na temelju toga ispada da temperatura unutar zida pada prema zakonu ravne crte.
Mehanizam konvekcijskog prijenosa topline: proračuni
Drugi mehanizam prijenosa topline je konvekcija. To je prijenos topline po volumenima medija kroz njihovo međusobno kretanje. U tom se slučaju prijenos topline s medija na zid i obrnuto, sa zida na radni medij naziva prijenosom topline. Za određivanje količine prenesene topline koristi se Newtonov zakon
U ovoj je formuli a koeficijent prijenosa topline. Uz turbulentno kretanje radnog medija, ovaj koeficijent ovisi o mnogim dodatnim količinama:
- fizikalni parametri fluida, posebno toplinski kapacitet, toplinska vodljivost, gustoća, viskoznost;
- uvjeti za pranje površine za prijenos topline plinom ili tekućinom, posebno brzina fluida, njegov smjer;
- prostorni uvjeti koji ograničavaju protok (duljina, promjer, oblik površine, njegova hrapavost).
Prema tome, koeficijent prijenosa topline funkcija je mnogih veličina, što je prikazano u formuli
Metoda dimenzijske analize omogućuje izvođenje funkcionalne veze između kriterija sličnosti koji karakteriziraju prijenos topline s turbulentnim protokom u glatkim, ravnim i dugim cijevima.
To se izračunava pomoću formule.
Koeficijent prijenosa topline u izračunu izmjenjivača topline
U kemijskoj tehnologiji često postoje slučajevi izmjene toplinske energije između dviju tekućina kroz pregradni zid. Proces izmjene topline prolazi kroz tri faze. Toplinski tok za stacionarni postupak ostaje nepromijenjen.
Provodi se proračun toplinskog toka koji prolazi od prvog radnog medija do zida, zatim kroz zid površine za prijenos topline, a zatim od zida do drugog radnog medija.
Sukladno tome, za izračun se koriste tri formule:
Kao rezultat zajedničkog rješenja jednadžbi dobivamo
Količina
a tu je i koeficijent prijenosa topline.
Izračun prosječne temperaturne razlike
Kada je određena potrebna količina topline pomoću bilance topline, potrebno je izračunati površinu izmjene topline (F).
Pri izračunavanju potrebne površine izmjene topline koristi se ista jednadžba kao u prethodnim izračunima:
U većini slučajeva temperatura radnog medija promijenit će se tijekom procesa izmjene topline. To znači da će se temperaturna razlika mijenjati duž površine izmjene topline. Stoga se izračunava prosječna temperaturna razlika.A zbog činjenice da promjena temperature nije linearna, izračunava se logaritamska razlika. Za razliku od izravnog protoka, s protustrujom radnih medija, potrebna površina površine izmjenjivača topline trebala bi biti manja. Ako se u istom hodu izmjenjivača topline koriste i izravni i protustrujni protoci, temperaturna razlika određuje se na temelju omjera.
Izračun gubitka topline u kući
Prema drugom zakonu termodinamike (školska fizika), ne dolazi do spontanog prijenosa energije s manje zagrijanih na više ili više zagrijanih mini- ili makroobjekata. Poseban slučaj ovog zakona je "težnja" ka stvaranju temperaturne ravnoteže između dva termodinamička sustava.
Primjerice, prvi sustav je okruženje s temperaturom od -20 ° C, drugi sustav je zgrada s unutarnjom temperaturom od + 20 ° C. Prema gore navedenom zakonu, ova dva sustava nastojat će uravnotežiti razmjenom energije. To će se dogoditi uz pomoć gubitaka topline iz drugog sustava i hlađenja u prvom.


Nedvosmisleno možemo reći da temperatura okoline ovisi o geografskoj širini na kojoj se nalazi privatna kuća. A temperaturna razlika utječe na količinu topline koja curi iz zgrade (+)
Gubitak topline znači nehotično oslobađanje topline (energije) iz nekog predmeta (kuće, stana). Za obični stan ovaj postupak nije toliko „primjetan“ u usporedbi s privatnom kućom, jer se stan nalazi unutar zgrade i „susjedan je“ ostalim stanovima.
U privatnoj kući toplina "izlazi" u jednom ili drugom stupnju kroz vanjske zidove, pod, krov, prozore i vrata.
Poznavajući količinu gubitka topline za najnepovoljnije vremenske uvjete i karakteristike tih uvjeta, moguće je s velikom točnošću izračunati snagu sustava grijanja.
Dakle, volumen curenja topline iz zgrade izračunava se pomoću sljedeće formule:
Q = Qfloor + Qwall + Qwindow + Qroof + Qdoor + ... + Qigdje
Qi - volumen gubitaka topline zbog ujednačenog izgleda omotnice zgrade.
Svaka komponenta formule izračunava se formulom:
Q = S * ∆T / Rgdje
- P - propuštanje topline, V;
- S - površina određene vrste građevine, kvadrat. m;
- ∆T - temperaturna razlika između okolišnog i unutarnjeg zraka, ° C;
- R - toplinski otpor određene vrste konstrukcije, m2 * ° C / W.
Sama vrijednost toplinske otpornosti za stvarno postojeće materijale preporučuje se uzeti iz pomoćnih tablica.
Osim toga, toplinski otpor se može dobiti pomoću sljedećeg omjera:
R = d / kgdje
- R - toplinski otpor, (m2 * K) / W;
- k - koeficijent toplinske vodljivosti materijala, W / (m2 * K);
- d Je li debljina ovog materijala, m.
U starijim kućama s vlažnom krovnom konstrukcijom dolazi do curenja topline kroz vrh zgrade, naime kroz krov i potkrovlje. Provođenje mjera za zagrijavanje stropa ili toplinsku izolaciju krova potkrovlja rješava ovaj problem.


Ako izolirate tavanski prostor i krov, tada se ukupni gubici topline iz kuće mogu znatno smanjiti.
Postoji nekoliko drugih vrsta gubitka topline u kući kroz pukotine na konstrukcijama, ventilacijski sustav, kuhinjsku napu, otvaranje prozora i vrata. Ali nema smisla uzimati u obzir njihov volumen, jer oni čine ne više od 5% ukupnog broja glavnih curenja topline.
Termovizijski pregled toplinske mreže
Izračun toplinskih gubitaka u toplinskim mrežama dopunjen je termovizijskim ispitivanjem.
Pregled toplinske slike grijaće mreže pomaže u otkrivanju lokalnih nedostataka na cjevovodima i toplinskoj izolaciji za naknadni popravak ili zamjenu.


Toplinska izolacija cjevovoda s nosačem topline je oštećena. Maksimalna temperatura na otvorenim područjima bila je 59,3 ° C


Djelomično uništavanje toplinske izolacije cjevovoda rashladnom tekućinom. Maksimalna temperatura na otvorenim područjima bila je 54,5 ° C


Djelomično uništavanje toplinske izolacije cjevovoda rashladnom tekućinom. Maksimalna temperatura na otvorenim područjima bila je 56,2 ° C


Toplinska izolacija cjevovoda s nosačem topline je oštećena.Maksimalna temperatura na otvorenim područjima bila je 66,3 ° C


Otvoreni dijelovi cjevovoda bez izolacije.


Otvoreni dijelovi cjevovoda bez izolacije.


Djelomično uništavanje toplinske izolacije cjevovoda rashladnom tekućinom.


Djelomično uništavanje toplinske izolacije cjevovoda rashladnom tekućinom. Maksimalna temperatura na otvorenim područjima bila je 62,5 ° C


Djelomično uništavanje toplinske izolacije cjevovoda rashladnom tekućinom. Maksimalna temperatura na otvorenim područjima bila je 63,2 ° C


Djelomično uništavanje toplinske izolacije cjevovoda rashladnom tekućinom. Maksimalna temperatura na otvorenim područjima bila je 63,8 ° C


Djelomično uništavanje toplinske izolacije cjevovoda rashladnom tekućinom. Maksimalna temperatura na otvorenim područjima bila je 66,5 ° C


Djelomično uništavanje toplinske izolacije cjevovoda rashladnom tekućinom. Maksimalna temperatura na otvorenim područjima bila je 63,5 ° C


Djelomično uništavanje toplinske izolacije cjevovoda rashladnom tekućinom. Maksimalna temperatura na otvorenim područjima bila je 69,5 ° C


Djelomično uništavanje toplinske izolacije cjevovoda rashladnom tekućinom. Maksimalna temperatura na otvorenim područjima bila je 62,2 ° C


Djelomično uništavanje toplinske izolacije cjevovoda rashladnom tekućinom. Maksimalna temperatura na otvorenim područjima bila je 52,0 ° C


Otvoreni dijelovi cjevovoda bez izolacije. Maksimalna temperatura na otvorenim područjima bila je 62,4 ° C


Djelomično uništavanje toplinske izolacije cjevovoda rashladnom tekućinom pod utjecajem okoliša.
Saznajte više o pregledu vodoopskrbnih sustava.


Djelomično uništavanje toplinske izolacije cjevovoda rashladnom tekućinom pod utjecajem okoliša.


Djelomično uništavanje toplinske izolacije cjevovoda rashladnom tekućinom. Maksimalna temperatura na otvorenim područjima bila je 67,6 ° C


Djelomično uništavanje toplinske izolacije cjevovoda rashladnom tekućinom. Maksimalna temperatura na otvorenim područjima bila je 58,8 ° C


Djelomično uništavanje toplinske izolacije cjevovoda rashladnom tekućinom pod utjecajem okoliša.
Određivanje snage kotla
Da bi se održala temperaturna razlika između okoliša i temperature u kući, potreban je autonomni sustav grijanja koji održava željenu temperaturu u svakoj sobi privatne kuće.
Osnova sustava grijanja su različite vrste kotlova: tekuće ili kruto gorivo, električne ili plinske.
Kotao je središnja jedinica sustava grijanja koja generira toplinu. Glavna karakteristika kotla je njegova snaga, naime brzina pretvorbe količine topline u jedinici vremena.
Nakon izračuna toplinskog opterećenja za grijanje, dobit ćemo potrebnu nazivnu snagu kotla.
Za obični višesobni stan snaga kotla izračunava se kroz površinu i specifičnu snagu:
Rboiler = (Sroom * Rudelnaya) / 10gdje
- S sobe- ukupna površina grijane prostorije;
- Rudellnaya- gustoća snage u odnosu na klimatske uvjete.
Ali ova formula ne uzima u obzir gubitke topline, koji su dovoljni u privatnoj kući.
Postoji još jedan odnos koji uzima u obzir ovaj parametar:
R kotao = (Qloss * S) / 100gdje
- Rkotla- snaga kotla;
- Korak- Gubitak topline;
- S - grijani prostor.
Nazivna snaga kotla mora se povećati. Zaliha je potrebna ako planirate koristiti kotao za grijanje vode za kupaonicu i kuhinju.


U većini sustava grijanja za privatne kuće preporuča se koristiti ekspanzijski spremnik u kojem će biti pohranjena opskrba rashladnom tekućinom. Svaka privatna kuća treba opskrbu toplom vodom
Da bi se osigurala rezerva snage kotla, posljednjoj formuli mora se dodati faktor sigurnosti K:
R kotao = (Qloss * S * K) / 100gdje
DO - bit će jednak 1,25, odnosno procijenjena snaga kotla povećat će se za 25%.
Dakle, snaga kotla omogućuje održavanje standardne temperature zraka u prostorijama zgrade, kao i početnu i dodatnu količinu tople vode u kući.
Kratki opis mreže grijanja
Za pokrivanje toplinskih opterećenja koristi se kotlovnica za proizvodnju i grijanje, čije je glavno gorivo prirodni plin.
Kotlovnica generira
- para za tehnološke potrebe - tijekom cijele godine
- topla voda za potrebe grijanja - tijekom sezone grijanja i
- opskrba toplom vodom - tijekom cijele godine.
- Projektom je predviđen rad grijaće mreže prema temperaturnom rasporedu od 98/60 stupnjeva. S.
Dijagram povezivanja sustava grijanja ovisi.
Toplotne mreže, koje osiguravaju prijenos topline za potrebe grijanja cijelog sela i opskrbe toplom vodom njegovog desnog dijela, postavljene su iznad zemlje i pod zemljom.
Mreža grijanja je razgranata, slijepa ulica.
Toplinske mreže puštene su u rad 1958. godine. Izgradnja se nastavila do 2007. godine.
Izvršena toplinska izolacija
- prostirke od staklene vune debljine 50 mm, s pokrovnim slojem valjanog materijala,
- ekstrudirana polistirenska pjena tip TERMOPLEKS debljine 40 mm, s pokrivnim slojem od pocinčanog lima i ekspandiranog polietilena debljine 50 mm.
Tijekom rada, neki dijelovi grijaće mreže popravljeni su zamjenom cjevovoda i toplinskom izolacijom.
Značajke odabira radijatora
Radijatori, paneli, sustavi podnog grijanja, konvektori itd. Standardni su dijelovi za opskrbu toplinom u sobi. Najčešći dijelovi sustava grijanja su radijatori.
Hladnjak je posebna šuplja modularna konstrukcija izrađena od legure velikog odvođenja topline. Izrađen je od čelika, aluminija, lijevanog željeza, keramike i drugih legura. Načelo rada radijatora za grijanje svodi se na zračenje energije iz rashladne tekućine u prostor sobe kroz "latice".


Aluminijski i bimetalni radijator za grijanje zamijenio je masivne radijatore od lijevanog željeza. Jednostavnost proizvodnje, veliko odvođenje topline, dobra konstrukcija i dizajn učinili su ovaj proizvod popularnim i raširenim alatom za zračenje topline u zatvorenom.
Postoji nekoliko metoda za izračunavanje radijatora grijanja u sobi. Popis metoda u nastavku razvrstan je prema redoslijedu povećanja računske točnosti.
Opcije izračuna:
- Po površini... N = (S * 100) / C, gdje je N broj odjeljaka, S je površina sobe (m2), C je prijenos topline jednog dijela radijatora (W, preuzeto iz te putovnice ili certifikat proizvoda), 100 W je količina protoka topline koja je potrebna za zagrijavanje 1 m2 (empirijska vrijednost). Postavlja se pitanje: kako uzeti u obzir visinu stropa sobe?
- Po volumenu... N = (S * H * 41) / C, gdje N, S, C - slično. H je visina prostorije, 41 W je količina toplinskog toka potrebna za zagrijavanje 1 m3 (empirijska vrijednost).
- Izgledi... N = (100 * S * k1 * k2 * k3 * k4 * k5 * k6 * k7) / C, gdje su N, S, C i 100 slični. k1 - uzimajući u obzir broj komora u staklenoj jedinici prozora prostorije, k2 - toplinska izolacija zidova, k3 - omjer površine prozora i površine prostorije, k4 - prosječna temperatura ispod nule u najhladnijem zimskom tjednu, k5 - broj vanjskih zidova prostorije (koji "izlaze" na ulicu), k6 - vrsta sobe na vrhu, k7 - visina stropa.
Ovo je najtočniji način izračuna broja odjeljaka. Prirodno, frakcijski rezultati izračuna uvijek se zaokružuju na sljedeći cijeli broj.
Opće odredbe
Bilo koja jednostavna metoda izračuna ima prilično veliku pogrešku. Međutim, s praktičnog gledišta, važno nam je osigurati zajamčenu dovoljnu toplinsku snagu. Ako se pokaže potrebnijim čak i na vrhuncu zimske hladnoće, pa što?
U stanu u kojem se grijanje plaća prema površini, toplina kostiju ne boli; a regulacija prigušnica i termostatski regulatori temperature nisu nešto vrlo rijetko i nepristupačno.
U slučaju privatne kuće i privatnog kotla, cijena kilovata topline nam je dobro poznata, a čini se da će vam višak grijanja pogoditi džep. Međutim, u praksi to nije slučaj. Svi moderni plinski i električni kotlovi za grijanje privatne kuće opremljeni su termostatima koji reguliraju prijenos topline ovisno o temperaturi u sobi.
Termostat će spriječiti da kotao troši višak topline.
Čak i ako naš izračun snage radijatora za grijanje u velikoj mjeri da značajnu pogrešku, riskiramo samo troškove nekoliko dodatnih odjeljaka.
Usput: osim prosječnih zimskih temperatura, svakih nekoliko godina javljaju se i ekstremni mrazovi.
Postoji sumnja da će se zbog globalnih klimatskih promjena događati sve češće, pa se pri izračunu radijatora grijanja nemojte bojati napraviti veliku pogrešku.
Hidraulički proračun opskrbe vodom
Naravno, "slika" izračuna topline za grijanje ne može biti cjelovita bez izračuna takvih karakteristika kao što su volumen i brzina nosača topline. U većini slučajeva rashladna tekućina je obična voda u tekućem ili plinovitom agregatnom stanju.


Preporučuje se izračunavanje stvarnog volumena nosača topline zbrajanjem svih šupljina u sustavu grijanja. Kada koristite kotao s jednim krugom, ovo je najbolja opcija. Kada koristite dvokružne kotlove u sustavu grijanja, potrebno je uzeti u obzir potrošnju tople vode u higijenske i druge kućanske svrhe.
Izračun količine vode zagrijane dvokružnim kotlom za opskrbu stanovnika toplom vodom i grijanjem rashladne tekućine vrši se zbrajanjem unutarnjeg volumena kruga grijanja i stvarnih potreba korisnika u grijanoj vodi.
Količina tople vode u sustavu grijanja izračunava se pomoću formule:
W = k * Pgdje
- W - volumen nosača topline;
- Str - snaga kotla za grijanje;
- k - faktor snage (broj litara po jedinici snage je 13,5, raspon - 10-15 litara).
Kao rezultat, konačna formula izgleda ovako:
W = 13,5 * P
Protok protoka grijaćeg medija konačna je dinamička ocjena sustava grijanja, koja karakterizira brzinu cirkulacije tekućine u sustavu.
Ova vrijednost pomaže u procjeni vrste i promjera cjevovoda:
V = (0,86 * P * μ) / ∆Tgdje
- Str - snaga kotla;
- μ - učinkovitost kotla;
- ∆T - temperaturna razlika između opskrbne i povratne vode.
Korištenjem gornjih metoda hidrauličkog izračuna moći će se dobiti stvarni parametri, koji su "temelj" budućeg sustava grijanja.
O odabiru i toplinskom proračunu uređaja za grijanje
Na okruglom stolu raspravljalo se o brojnim pitanjima, poput primjerice stvaranja sustava provjere inženjerskih sustava zgrada i građevina, usklađenosti proizvođača, dobavljača i trgovačkih lanaca sa zahtjevima za zaštitu prava potrošača, obveznog ispitivanja uređaji za grijanje s obveznim navođenjem uvjeta za ispitivanje uređaja, izrada pravila dizajna i uporaba uređaja za grijanje. Tijekom rasprave ponovno je zabilježen nezadovoljavajući rad instrumenata.
S tim u vezi, želio bih napomenuti da se o nezadovoljavajućem radu sustava grijanja može suditi ne samo po uređaji za grijanje... Razlog je također moguć u sniženim podacima toplinske tehnike (u usporedbi s projektnim podacima) vanjskih zidova, prozora, premaza i u dovodu vode u sustav grijanja s smanjenom temperaturom. Sve bi se to trebalo odražavati u materijalima za sveobuhvatnu procjenu tehničkog stanja sustava grijanja.
Stvarni prijenos topline uređaja za grijanje iz različitih razloga može biti manji od potrebnog. Prvo, u stvarnosti su uređaji za grijanje odvojeni od raznih vrsta prostorija ukrasnim ogradama, zavjesama i namještajem. Drugo, nepoštivanje zahtjeva Pravila za tehnički rad sustava grijanja [1].
Na odvođenje topline uređaja utječe, na primjer, sastav i boja boje. Smanjuje prijenos topline i radijatore smještene u nišama.
Način toplinskog proračuna uređaja za grijanje, naveden u priručniku poznatog dizajnera [2], trenutno je nevažeći iz više razloga.
Trenutno se uređaji za grijanje često odabiru prema vrijednosti nominalnog toplinskog toka, to jest ne uzimajući u obzir složeni koeficijent dovođenja nominalnog toplinskog toka u stvarne uvjete, ovisno o sustavu grijanja (jednocijevni ili dvocijevni ), temperatura rashladne tekućine i zraka u sobi, čija je vrijednost u pravilu manja od 1. U radu su prikazani preporučeni toplinski proračuni suvremenih uređaja [3].
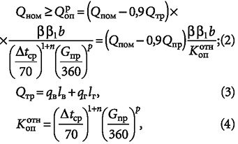
Izbor uređaja sastoji se u određivanju broja presjeka sklopivog radijatora ili vrste nerasklopljivog radijatora ili konvektora čija vanjska površina za prijenos topline mora osigurati prijenos barem potrebnog toplinskog toka u prostoriju ( Sl. 1).
Izračun se provodi na temperaturi rashladne tekućine prije i nakon grijača (u stambenim i javnim zgradama, u pravilu se koristi voda ili tekućina koja ne smrzava), potrošnja topline prostorije Qnom, koja odgovara izračunatoj toplini deficit u njemu, koji se odnosi na jedan uređaj za grijanje, pri procijenjenoj temperaturi vanjskog zraka [četiri].
Procijenjeni broj presjeka sklopivih radijatora s dovoljnom točnošću može se odrediti sljedećom formulom:
Vrsta i duljina nerazdvojivih radijatora i konvektora trebaju se odrediti iz uvjeta da njihov nominalni toplinski tok Qpom ne bude manji od izračunatog prijenosa topline Qopr:


gdje je Qopr izračunata toplinska snaga grijača, W; qsecr je izračunata gustoća toplinskog toka jednog dijela uređaja, W; Qtr je ukupni prijenos topline usponskih cijevi, priključaka, otvoreno položenih u prostorijama, koji se odnose na uređaj za grijanje, W; β je koeficijent koji uzima u obzir način ugradnje, mjesto grijača [2, 3] (kod ugradnje uređaja, na primjer, otvoren je u blizini vanjskog zida β = 1, ako je ispred uređaji s prorezima u gornjem dijelu β = 1,4, a kada se konvektor nalazi u podnoj strukturi, vrijednost koeficijenta doseže 2); β1 - koeficijent uzimajući u obzir promjenu prijenosa topline iz radijatora ovisno o broju presjeka ili duljini uređaja, β1 = 0,95-1,05; b - koeficijent uzimajući u obzir atmosferski tlak, b = 0,95-1,015; qv i qr - prijenos topline od 1 m okomitih i vodoravnih otvoreno položenih cijevi [W / m], uzet za neizolirane i izolirane cijevi prema tablici. 1 [2,3]; lw i lg - duljina vertikalnih i vodoravnih cijevi unutar prostora, m; qnom i Qnom - nominalna gustoća toplinskog toka jednog dijela sklopivog ili odgovarajućeg tipa nerasklopljivog uređaja za grijanje, dana u [3], u Preporukama laboratorija uređaja za grijanje "NIIsantekhniki" (LLC "Vitaterm") i u katalozima proizvođača uređaja, s razlikom u prosječnoj temperaturi rashladne tekućine i sobnom zraku Δtav jednakoj 70 ° C, i s protokom vode od 360 kg / h u uređaju; Δtav i Gpr - stvarna temperaturna razlika 0,5 (tg + do) - tv i protok rashladne tekućine [kg / h] u uređaju; n i p su eksperimentalni numerički pokazatelji koji uzimaju u obzir promjenu koeficijenta prijenosa topline uređaja pri stvarnim vrijednostima prosječne razlike temperature i brzine protoka rashladne tekućine, kao i vrstu i shemu spajanja uređaj na cijevima sustava grijanja, usvojen prema [3] ili prema Preporukama laboratorija uređaja za grijanje "NIIsantekhniki"; tg, to i tv - izračunate vrijednosti temperatura rashladne tekućine prije i poslije uređaja i zraka u datoj sobi, ° C; Kopotn je složeni koeficijent za dovođenje nominalnog toplinskog toka u stvarne uvjete.


Pri odabiru vrste uređaja za grijanje [4], treba imati na umu da bi njegova duljina u zgradama s visokim sanitarnim zahtjevima trebala biti najmanje 75%, u stambenim i drugim javnim zgradama - najmanje 50% duljine krovnog prozora
Procijenjeni protok grijaćeg medija koji prolazi kroz grijač [kg / h] može se odrediti formulom:
Vrijednost Qpom ovdje odgovara toplinskom opterećenju dodijeljenom jednom uređaju za grijanje (kada ih je dvoje ili više u sobi).
Pri odabiru vrste uređaja za grijanje [4], treba imati na umu da bi njegova duljina u zgradama s povećanim sanitarnim i higijenskim zahtjevima (bolnice, predškolske ustanove, škole, domovi za starije i nemoćne osobe) trebala biti najmanje 75%, u stambenim i drugim javnim zgradama - ne manje od 50% duljine svjetlosnog otvora.


Primjeri izbora uređaja za grijanje
Primjer 1. Odredite potreban broj sekcija radijatora MC-140-M2, instaliranog bez zaslona ispod prozorske klupice prozora 1,5 X 1,5 m, ako je poznat: sustav grijanja je dvocijevni, okomit, polaganje cijevi otvoreno, nominalno promjeri vertikalnih cijevi (uspona) unutar prostora 20 mm, vodoravno (priključci na radijator) 15 mm, izračunata potrošnja topline Qpom prostorije br. 1 iznosi 1000 W, izračunata temperatura opskrbne vode tg i povrat vode jednake su do 95 i 70 ° C, temperatura zraka u sobi je tv = 20 ° C, uređaj je povezan shemom odozgo prema dolje, duljina okomitih lw i vodoravnih lg cijevi je 6, odnosno 3 m. Nazivni toplinski tok jednog presjeka qnom je 160 W.
Odluka.
1. Nalazimo brzinu protoka vode Gpr koja prolazi kroz radijator:
Pokazatelji n i p su 0,3, odnosno 0,02; β = 1,02, β1 = 1 i b = 1.
2. Pronađite temperaturnu razliku Δtav:
3. Prijenos topline cijevi Qtr nalazimo pomoću tablica prijenosa topline otvoreno položenih okomitih i vodoravnih cijevi:
4. Odredite broj odjeljaka Npr:
Četiri odjeljka trebaju biti prihvaćena za ugradnju. Međutim, duljina radijatora od 0,38 m manja je od polovine veličine prozora. Stoga je ispravnije instalirati konvektor, na primjer, "Santekhprom Auto". Indeksi n i p za konvektor uzimaju se jednaki 0,3, odnosno 0,18.
Izračunati prijenos topline konvektora Qopr nalazi se po formuli:
Prihvaćamo konvektor "Santekhprom Auto" tip KSK20-0.918kA s nominalnim toplinskim protokom Qnom = 918 W. Duljina kućišta konvektora je 0,818 m.
Primjer 2. Odredite potreban broj sekcija radijatora MC-140-M2 pri izračunatoj temperaturi opskrbne vode tg i povratku do 85 i 60 ° C Ostali početni podaci su isti.
Odluka.
U ovom slučaju: Δtav = 52,5 ° C; prijenos topline cijevi će biti
Šest sekcija je prihvaćeno za ugradnju. Povećanje potrebnog broja dijelova radijatora u drugom primjeru uzrokovano je smanjenjem izračunatih temperatura polaza i povrata u sustavu grijanja.
Prema proračunima (primjer 5), jedan zidni konvektor "Santekhprom Super Auto" s nominalnim toplinskim protokom od 3070 W može se prihvatiti za ugradnju. Kao primjer - konvektor KSK 20-3070k srednje dubine s kutnim čeličnim tijelom ventila KTK-U1 i s presjekom za zatvaranje. Duljina kućišta konvektora 1273 mm, ukupna visina 419 mm
Duljina radijatora od 0,57 m manja je od polovine veličine prozora. Stoga biste trebali instalirati radijator niže visine, na primjer tipa MC-140-300, čiji je nominalni toplinski tok jednog dijela qnom 0,12 kW (120 W).
Broj odjeljaka nalazimo prema sljedećoj formuli:
Prihvaćamo osam dijelova za ugradnju. Dužina radijatora je 0,83 m, što je više od polovice veličine prozora.
Primjer 3. Odredite potreban broj sekcija radijatora MC-140-M2, ugrađenih ispod prozorskih klupica bez zaslona od dva prozora dimenzija 1,5 X 1,5 m sa zidom, ako je poznat: sustav grijanja je dvocijevni, vertikalni, s otvorenim polaganjem cijevi , nominalni promjeri okomitih cijevi unutar prostorije 20 mm, vodoravni (priključci prije i poslije radijatora) 15 mm, izračunata potrošnja topline prostorije Qpom je 3000 W, izračunate temperature dovoda tg i povratne vode su 95 i 70 ° C, temperatura zraka u sobi je tv = 20 ° C, priključak uređaja
prema shemi "odozgo prema dolje", duljina okomitih lw i vodoravnih lg cijevi iznosi 6, odnosno 4 m. Nazivni toplinski tok jednog presjeka qnom = 0,16 kW (160 W). Odluka.
1. Odredite brzinu protoka vode Gpr koja prolazi kroz dva radijatora:
Pokazatelji n i p su 0,3, odnosno 0,02; β = 1,02, β1 = 1 i b = 1.
2. Pronađite temperaturnu razliku Δtav:
3. Prijenos topline cijevi Qtr nalazimo pomoću tablica prijenosa topline otvoreno položenih okomitih i vodoravnih cijevi:
4. Odrediti ukupan broj odjeljaka Npr:
Za ugradnju ćemo prihvatiti dva radijatora od 9 i 10 sekcija.
Primjer 4. Odredite potreban broj sekcija radijatora MC-140-M2 pri izračunatoj temperaturi opskrbne vode tg i obrnuto na, jednako 85 i 60 ° C. Ostali početni podaci su isti.
Odluka.
U ovom slučaju: Δtav = 52,5 ° C; prijenos topline cijevi bit će:
Za ugradnju ćemo prihvatiti dva radijatora od 12 sekcija.
Primjer 5. Odredite vrstu konvektora pri projektnoj temperaturi opskrbne vode tp i vratite se na 85 i 60 ° C, te izračunatu potrošnju topline prostorije Qpom, jednaku 2000 W. Ostatak početnih podataka prikazan je u primjeru 3: n = 0,3, p = 0,18.
U ovom slučaju: Δtav = 52,5 ° C; prijenos topline cijevi bit će:
Zatim
Za ugradnju je moguće prihvatiti jedan zidni konvektor "Santekhprom Super Auto" s nominalnim toplinskim protokom od 3070 W. Primjer je konvektor KSK 20-3070k srednje dubine, s kutnim čeličnim tijelom ventila KTK-U1 i sa presjekom za zatvaranje. Duljina kućišta konvektora je 1273 mm, ukupna visina je 419 mm.
Također je moguće ugraditi konvektor KS20-3030 proizvođača NBBK LLC s nominalnim toplinskim protokom od 3030 W i duljinom kućišta od 1327 mm.
Primjer toplinskog dizajna
Kao primjer izračuna topline postoji redovita kuća na 1 kat s četiri dnevne sobe, kuhinjom, kupaonicom, "zimskim vrtom" i pomoćnim prostorijama.


Temelj je izrađen od monolitne armiranobetonske ploče (20 cm), vanjski zidovi su betonski (25 cm) sa žbukom, krov je izrađen od drvenih greda, krov je od metala i mineralne vune (10 cm)
Odredimo početne parametre kuće, potrebne za izračune.
Dimenzije zgrade:
- visina poda - 3 m;
- mali prozor prednje i stražnje strane zgrade 1470 * 1420 mm;
- veliki fasadni prozor 2080 * 1420 mm;
- ulazna vrata 2000 * 900 mm;
- stražnja vrata (izlaz na terasu) 2000 * 1400 (700 + 700) mm.
Ukupna širina zgrade je 9,5 m2, dužina je 16 m2. Grijat će se samo dnevne sobe (4 kom.), Kupaonica i kuhinja.


Da biste točno izračunali gubitak topline na zidovima s područja vanjskih zidova, trebate oduzeti površinu svih prozora i vrata - ovo je potpuno druga vrsta materijala s vlastitim toplinskim otporom
Počinjemo s izračunavanjem površina homogenih materijala:
- tlocrtna površina - 152 m2;
- površina krova - 180 m2, uzimajući u obzir visinu potkrovlja od 1,3 m i širinu staze - 4 m;
- površina prozora - 3 * 1,47 * 1,42 + 2,08 * 1,42 = 9,22 m2;
- površina vrata - 2 * 0,9 + 2 * 2 * 1,4 = 7,4 m2.
Površina vanjskih zidova bit će 51 * 3-9,22-7,4 = 136,38 m2.
Prijeđimo na izračunavanje gubitka topline za svaki materijal:
- Qpol = S * ∆T * k / d = 152 * 20 * 0,2 / 1,7 = 357,65 W;
- Krovni krov = 180 * 40 * 0,1 / 0,05 = 14400 W;
- Qprozor = 9,22 * 40 * 0,36 / 0,5 = 265,54 W;
- Qdoor = 7,4 * 40 * 0,15 / 0,75 = 59,2 W;
A također Qwall je ekvivalentan 136,38 * 40 * 0,25 / 0,3 = 4546. Zbroj svih gubitaka topline bit će 19628,4 W.
Kao rezultat izračunavamo snagu kotla: Rkotao = Qloss * Prostor_kolonice * K / 100 = 19628,4 * (10,4 + 10,4 + 13,5 + 27,9 + 14,1 + 7,4) * 1,25 / 100 = 19628,4 * 83,7 * 1,25 / 100 = 20536,2 = 21 kW.
Izračunat ćemo broj dijelova radijatora za jednu od soba. Za sve ostale izračuni su isti. Na primjer, ugaona soba (lijevi, donji kut dijagrama) iznosi 10,4 m2.
Dakle, N = (100 * k1 * k2 * k3 * k4 * k5 * k6 * k7) / C = (100 * 10,4 * 1,0 * 1,0 * 0,9 * 1,3 * 1,2 * 1,0 * 1,05) /180=8,5176=9.
Ova soba zahtijeva 9 dijelova radijatora grijanja s izlaznom toplinom od 180 W.
Okrećemo se izračunavanju količine rashladne tekućine u sustavu - W = 13,5 * P = 13,5 * 21 = 283,5 litara. To znači da će brzina rashladne tekućine biti: V = (0,86 * P * μ) / ∆T = (0,86 * 21000 * 0,9) /20=812,7 litara.
Kao rezultat, potpuni promet cijelog volumena rashladne tekućine u sustavu bit će ekvivalentan 2,87 puta na sat.
Izbor članaka o toplinskom izračunu pomoći će u određivanju točnih parametara elemenata sustava grijanja:
- Izračun sustava grijanja privatne kuće: pravila i primjeri izračuna
- Toplinski proračun zgrade: specifičnosti i formule za izvođenje proračuna + praktični primjeri
Proračun rebrastog radijatora kao elementa izmjenjivača topline s prisilnom konvekcijom.
Predstavljena je tehnika na primjeru Intel Pentium4 Willamette 1,9 GHz procesora i hladnjaka B66-1A proizvođača ADDA Corporation, koja opisuje postupak izračunavanja rebrastih radijatora dizajniranih za hlađenje elemenata koji stvaraju toplinu elektroničke opreme s prisilnom konvekcijom i ravnim termičke kontaktne površine snage do 100 W. Tehnika omogućuje praktični proračun suvremenih malih uređaja za uklanjanje topline visokih performansi i primjenjuje ih na čitav spektar radioelektronskih uređaja kojima je potrebno hlađenje.
Parametri navedeni u početnim podacima:
Str
= 67 W, snaga koju rashlađeni element rasipa;
qiz
= 296 ° K, temperatura medija (zraka) u stupnjevima Kelvina;
qprije
= 348 ° K, granična temperatura kristala;
qR
= nn ° K, prosječna temperatura baze hladnjaka (izračunato tijekom izračuna);
H
= 3 10-2 m, visina rebra hladnjaka u metrima;
d
= 0,8 10-3 m, debljina rebra u metrima;
b
= 1,5 10-3 m, udaljenost između rebara;
lm
= 380 W / (m ° K), koeficijent toplinske vodljivosti materijala radijatora;
L
= 8,3 10-2 m, veličina radijatora uz rub u metrima;
B
= 6,9 10-2 m, veličina radijatora preko peraja;
I
= 8 10-3 m, debljina baze radijatora;
V
³ 2 m / s, brzina zraka u kanalima hladnjaka;
Z
= 27, broj rebara hladnjaka;
uR
= nn K, temperatura pregrijavanja baze hladnjaka, izračunava se tijekom izračuna;
eR
= 0,7, stupanj crnine radijatora.
Pretpostavlja se da se izvor topline nalazi u središtu radijatora.
Sve linearne dimenzije mjere se u metrima, temperatura u Kelvinima, snaga u vatima i vrijeme u sekundama.
Dizajn radijatora i parametri potrebni za izračune prikazani su na slici 1.
Slika 1.
Postupak izračuna.
1. Odredite ukupnu površinu presjeka kanala između rebara po formuli:
Sk = (Z - 1) · b · H [1]
Za prihvaćene početne podatke - Sk = (Z - 1) b H = (27-1) 1,5 10-3 3 10-2 = 1,1 10-3 m2
Za centralnu instalaciju ventilatora, protok zraka izlazi kroz dvije krajnje površine, a površina presjeka kanala udvostručuje se na 2,2 10-3 m2.
2. Postavljamo dvije vrijednosti temperature dna radijatora i vršimo proračun za svaku vrijednost:
qr = {353 (+ 80 ° S) i 313 (+ 40 ° S)}
Odavde se određuje temperatura pregrijavanja baze radijatora. uR
s obzirom na okoliš.
ur = qr - qs [2]
Za prvu točku, ur = 57 ° K, za drugu, ur = 17 ° K.
3. Odredite temperaturu q
potreban za izračunavanje Nusselt (Nu) i Reynolds (Re) kriterija:
q = qs + P / (2 · V · Sk · r · Cr) [3]
Gdje: qiz
–
temperatura okoliša, okoliš,
V
- brzina zraka u kanalima između rebara, u m / s;
Sdo
- ukupna površina presjeka kanala između rebara, u m2;
r
- gustoća zraka na temperaturi
q
Srijeda, u kg / m3,
q
cf = 0,5 (
qp +qiz)
;
CR
- toplinski kapacitet zraka na temperaturi
q
Srijeda, u J / (kg x ° K);
Str
- snaga koju odvodi radijator.
Za prihvaćene početne podatke - q = qs + P / (2 V Sk r Cr) = 296 K + 67 / (2 2 m / s 1,1 10-3m2 1,21 1005) = 302, 3 ° C (29,3 ° C)
* Vrijednost za zadati rebrasti radijator s ugradnjom središnjeg ventilatora, V
iz izračuna 1.5 - 2.5 m / s (vidi Dodatak 2), iz publikacija [L.3] oko 2 m / s. Za kratke kanale koji se šire, poput hladnjaka Golden Orb, brzina hladnog zraka može doseći 5 m / s.
4. Odredite vrijednosti Reynoldsovog i Nusseltovog kriterija potrebne za izračunavanje koeficijenta prijenosa topline rebara hladnjaka:
Re = V · L / n [4]
Gdje: n
- koeficijent kinematičke viskoznosti zraka pri
qiz,m2/iz
iz Dodatka 1, tablice 1.
Za prihvaćene početne podatke - Re = VL / n = 2 8,3 10-2 / 15,8 10-6 = 1,05 104
Nu = 0,032 Re 0,8 [5]
Za prihvaćene početne podatke - Nu = 0,032 Re 0,8 = 0,032 (2,62 104) 0,8 = 52,8
5. Odredite koeficijent konvektivnog prijenosa topline rebra hladnjaka:
ado
=Nu·lu/
D W / (m
2
K) [6]
Gdje, l
- koeficijent toplinske vodljivosti zraka (W / (m stupnjeva)), pri
qiz
iz Dodatka 1., tablice1.
Za prihvaćene početne podatke - ak = Nu · lv / L = 52,8 · 2,72 10-2 / 8,3 10-2 = 17,3
6. Odrediti pomoćne koeficijente:
m = (2 · ak / lm · d) 1/2 [7]
određujemo vrijednost mh i tangentu hiperboličkog th (mh).
Za prihvaćene početne podatke - m = (2 ak / lm d) 1/2 = (2 17,3 / (380 0,8 10-3)) 1/2 = 10,6
Za prihvaćene početne podatke - m · H = 10,6 · 3 10-2 = 0,32; th (m H) = 0,31
7. Odredite količinu topline koja se daje konvekcijom iz rebara hladnjaka:
Prc = Z · lm · m · Sr · ur · th (m · H) [8]
Gdje: Z
- broj rebara;
lm
= koeficijent toplinske vodljivosti metala radijatora, W / (m
·
° K);
m
- vidi formulu 7;
SR
- površina presjeka rebra hladnjaka, m2,
Sr = L · d [9]
uR
- temperatura pregrijavanja baze radijatora.
Sp = L d = 8,3 10-2 0,8 10-3 = 6,6 10-5 m2
Prk = Z · lm · m · Sr · ur · th (m · H) = 27 · 380 · 10,6 · 6,6 10-5 · 57 · 0,31 = 127 W.
8. Odredite prosječnu temperaturu rebra hladnjaka:
qsr = (qr / 2) [1 + 1 / ch (m · H)] [10]
Gdje: CH
(mH)
- kosinus je hiperboličan.
Za prihvaćene početne podatke - qsr = (qr / 2) [1 + 1 / ch (m · H)] = (353/2) [1 + 1 / 1.05] = 344 ° K (71 ° S)
* Veličina tangente i kosinusa hiperbolike izračunava se na inženjerskom kalkulatoru sekvencijalnim izvođenjem operacija "hyp" i "tg" ili "cos".
9. Odredite koeficijent prijenosa topline zračenja:
al = er · f (qsr, qs) · j [11]
f (qsr, qs) = 0,23 [5 10-3 (qsr + qs)] 3
Za prihvaćene početne podatke - f (qcr, qc) = 0,23 [5 10-3 (qcr + qc)] 3 = 0,23 [5 10-3 (335 + 296)] 3 = 7,54
Koeficijent zračenja:
j = b / (b + 2h)
j = b / (b + 2H) = 1,5 10-3 / (1,5 10-3 + 3 10-2) = 0,048
al = erf (qav, qc) j = 0,7 x 7,54 x 0,048 = 0,25 W / m2 K
10. Odredite površinu zračenja toplinskog toka:
Sl = 2 L [(Z -1) · (b + d) + d] +2 H · L · Z (m2) [12]
Za prihvaćene početne podatke - Sl = 2 L [(Z -1) · (b + d) + d] +2 H · L · Z = 0,1445 m2
11. Odredite količinu topline odavane zračenjem:
Pl = al · Sl (qav - qc) [13]
Za prihvaćene početne podatke - Pl = alSl (qav - qc) = 0,25 0,1445 (344 - 296) = 1,73 W
12. Ukupna količina topline koju odaje radijator pri određenoj temperaturi radijatora qr = 353K:
P = Prk + Pl [14]
Za prihvaćene početne podatke - P = Prk + Pl = 127 + 1,73 = 128,7 W.
13. Ponavljamo izračune za temperaturu hladnjaka q
p = 313K, a u dvije točke crtamo toplinsku karakteristiku izračunatog radijatora. Za ovu točku, P = 38W. Ovdje se duž vertikalne osi taloži količina topline koju odaje radijator
StrR
, a vodoravna temperatura radijatora je
qR
.
Slika 2
Iz dobivenog grafikona određujemo za zadanu snagu od 67W, qR
= 328 ° K ili 55 ° C.
14. Prema toplinskoj karakteristici radijatora određujemo da za datu snagu PR
= 67W, temperatura hladnjaka
qR
= 328,5 ° C. Temperatura pregrijavanja radijatora
uR
može se odrediti formulom 2.
Jednako je ur = qr - qs = 328 - 296 = 32 ° K.
15. Odredite temperaturu kristala i usporedite je s graničnom vrijednošću koju je odredio proizvođač
qdo
=q
p + P (
r
pc +
r
pr) ° K = 328 + 67 (0,003 + 0,1) = 335 (62 ° C), [15]
Gdje:
qR
–
temperatura baze radijatora za datu projektnu točku,
R
- rezultat izračuna prema formuli 14,
r
kom - toplinski otpor kućišta procesora - kristala, za ovaj izvor topline iznosi 0,003 K / W
r
pr - toplinski otpor kućišta-radijatora, za zadani izvor topline jednak je 0,1K / W (s toplinski vodljivom pastom).
Dobiveni rezultat je ispod maksimalne temperature koju je odredio proizvođač i blizak je podacima [L.2] (oko 57 ° C). U ovom slučaju, temperatura pregrijavanja kristala u odnosu na okolni zrak u gornjim izračunima iznosi 32 ° C, a u [L.2] 34 ° C.
Općenito, toplinski otpor između dviju ravnih površina kada se koriste lemovi, paste i ljepila:
r =
d
do
lk-1
·
Scont
-1
[16]
Gdje: d
k je debljina zazora između radijatora i kućišta rashlađene jedinice ispunjene materijalom koji provodi toplinu u m,
ldo
- koeficijent toplinske vodljivosti materijala koji provodi toplinu u zazoru W / (m K),
Snast
Je li površina kontaktne površine u m2.
Približna vrijednost rcr s dovoljnim zatezanjem i bez brtvila i maziva je
rcr = 2,2 / Scont
Kada se koriste paste, toplinski otpor pada oko 2 puta.
16. Usporedi qdo
iz
qprije
, dobili smo radijator
qdo
= 325 ° K, manje
qprije=
348 ° K, - zadani radijator pruža toplinski način rada s marginom.
17. Odredite toplinski otpor izračunatog hladnjaka:
r =
u
R
/ P (° K / W) [17]
r = ur / P (° / W) = 32/67 = 0,47 ° / W
Nalazi:
Izračunati izmjenjivač topline omogućuje uklanjanje toplotne snage od 67 W pri sobnoj temperaturi do 23 ° C, dok temperatura kristala od 325 ° K (62 ° C) ne prelazi 348 ° K (75 ° C) dopuštenu za ovaj procesor.
Korištenje posebne površinske obrade za povećanje izlaza toplinske snage zračenjem na temperaturama do 50 ° C pokazalo se neučinkovitim i ne može se preporučiti, jer ne isplati troškove.
Želio bih da vam ovaj materijal pomogne ne samo u izračunu i izradi modernog, vrlo učinkovitog izmjenjivača topline, sličnog onima koji se naširoko koristi u računalnoj tehnologiji, već i u kompetentnom donošenju odluka o upotrebi takvih uređaja u odnosu na vaše zadatke .
Konstante za izračunavanje izmjenjivača topline.
stol 1
| qs, K (° C) | l *10-2 W / (m K) | n * 10 6 m 2 / sek | Prosj. J / (kg * K) | r , kg / m 2 |
| 273 (0) td> | 2,44 | 13,3 | 1005 | 1,29 |
| 293 (20) | 2,59 | 15,1 | 1005 | 1,21 |
| 333 (60) | 2,9 | 19 | 1005 | 1,06 |
| 373 (100) | 3,21 | 23,1 | 1009 | 0,95 |
Vrijednosti konstanti za srednje temperature, u prvoj aproksimaciji, mogu se dobiti ucrtavanjem grafikona funkcija za temperature naznačene u prvom stupcu.
Dodatak 2.
Proračun brzine kretanja zračnog hlađenja radijatora.
Brzina kretanja rashladne tekućine tijekom prisilne konvekcije u plinovima:
V = Gv / Sk
Gdje je: Gv zapreminski protok rashladne tekućine, (za ventilator 70x70, Sp = 30 cm2, 7 lopatica, Rem = 2,3 W, w = 3500 o / min, Gv = 0,6-0,8 m3 / min. Ili zapravo 0, 2 -0,3 ili V = 2m / sek),
Sk - površina presjeka kanala slobodna za prolaz.
S obzirom da je površina protoka ventilatora 30 cm2, a površina kanala radijatora 22 cm2, utvrđeno je da je brzina puhanja zraka manja i bit će jednaka:
V = Gv / S = 0,3 m3
/ min / 2,2 10
-3
m
2
= 136 m / min = 2,2 m / s.
Za izračune uzimamo 2 m / s.
Književnost:
- Priručnik dizajnera CEA, ur. RG Varlamov, M, sovjetski radio, 1972 .;
- Priručnik za REA dizajnera, ur. RG Varlamov, M, Sovjetski radio, 1980 .;
- https://www.ixbt.com/cpu/, Hladnjaci za utičnicu 478, proljeće-ljeto 2002, Vitaly Krinitsin
, Objavljeno - 29. srpnja 2002 .;
- https://www.ixbt.com/cpu/, Mjerenje brzina zraka iza ventilatora za hlađenje i hladnjaka, Alexander Tsikulin, Alexey Rameykin, Objavljeno - 30. kolovoza 2002.
pripremljeno 2003. na temelju materijala L.1 i 2
Sorokin A.D.
Ovu tehniku možete ovdje preuzeti u PDF formatu.
Precizan izračun toplinske snage
Za to se koriste korekcijski faktori:
- K1 ovisi o vrsti prozora. Dvokomorni prozori s dvostrukim ostakljenjem odgovaraju 1, obično staklo - 1,27, trokomorni prozor - 0,85;
- K2 prikazuje stupanj toplinske izolacije zidova. U rasponu je od 1 (pjenasti beton) do 1,5 za betonske blokove i 1,5 opeke;
- K3 odražava omjer površine prozora i poda. Što više ima prozorskih okvira, veći su gubici topline. Pri ostakljenju od 20%, koeficijent je 1, a kod 50% povećava se na 1,5;
- K4 ovisi o minimalnoj temperaturi izvan zgrade tijekom sezone grijanja. Kao jedinica uzima se temperatura od -20 ° C, a zatim se na svakih 5 stupnjeva dodaje ili oduzima 0,1;
- K5 uzima u obzir broj vanjskih zidova. Koeficijent za jedan zid je 1, ako su dva ili tri, tada je 1,2, kada su četiri - 1,33;
- K6 odražava vrstu sobe koja se nalazi iznad određene sobe. Ako je na vrhu stambeni kat, vrijednost korekcije je 0,82, toplo potkrovlje - 0,91, hladno potkrovlje - 1,0;
- K7 - ovisi o visini stropova. Za visinu od 2,5 metra to je 1,0, a za 3 metra - 1,05.
Kada su poznati svi korekcijski faktori, snaga sustava grijanja izračunava se za svaku sobu koristeći formulu:
Toplinski proračun sobe i zgrade u cjelini, formula gubitka topline
Toplinski proračun
Dakle, prije izračuna sustava grijanja za vlastiti dom, morate saznati neke podatke koji se odnose na samu zgradu.
Iz projekta kuće naučit ćete dimenzije grijanih prostorija - visinu zidova, površinu, broj otvora za prozore i vrata, kao i njihove dimenzije. Kako se kuća nalazi u odnosu na glavne točke. Budite svjesni prosječnih zimskih temperatura u vašem području. Od kojeg je materijala izgrađena sama zgrada?
Posebna pažnja na vanjskim zidovima. Svakako odredite komponente od poda do tla, što uključuje i temelj zgrade. Isto se odnosi na gornje elemente, tj. Na strop, krov i ploče.
Upravo ti parametri strukture omogućit će vam nastavak hidrauličkog izračuna. Priznajmo, svi gore navedeni podaci su dostupni, pa ne bi trebalo biti problema s njihovim prikupljanjem.
Sveobuhvatan proračun toplinskog opterećenja
Uz teoretsko rješavanje pitanja koja se odnose na toplinska opterećenja, tijekom projektiranja provode se i brojne praktične mjere. Sveobuhvatna ispitivanja toplinskog inženjerstva uključuju termografiju svih građevinskih konstrukcija, uključujući stropove, zidove, vrata, prozore. Zahvaljujući ovom radu moguće je utvrditi i zabilježiti razne čimbenike koji utječu na gubitak topline kuće ili industrijske zgrade.
Termička ispitivanja daju najpouzdanije podatke o toplinskim opterećenjima i gubicima topline za određenu zgradu tijekom određenog vremenskog razdoblja. Praktične mjere omogućuju jasno pokazivanje onoga što teorijski izračuni ne mogu pokazati - problematična područja buduće strukture.
Iz svega navedenog možemo zaključiti da su proračuni toplinskih opterećenja za opskrbu toplom vodom, grijanje i ventilaciju, slično hidrauličkom proračunu sustava grijanja, vrlo važni i da bi ih svakako trebalo izvesti prije početka uređenja sustav opskrbe toplinom u vlastitoj kući ili u objektu za drugu namjenu. Kada se pristup poslu izvrši ispravno, osigurat će se nesmetano funkcioniranje grijaće strukture, i to bez dodatnih troškova.
Video primjer izračuna toplinskog opterećenja na sustav grijanja zgrade:



